✓
读书破万卷 下笔如有神
景克宁教授,著名学者,曾任《西京平报》等多家报社主编,平生治学严谨,笔耕不辍,相继出版专著 14 部,为各类体裁书籍撰写序文近百篇。他说过:书是千里眼、顺风耳、望远镜、显微镜;书是科学的总结,智慧的源泉,生活的指南,提供认识客观世界和主观世界的途径和方法。人们通过读书滋养灵魂、提振信心、寄托希望,通过读书吸取营养、获取知识、增长智慧。读书如何最大程度吸收知识呢?就是要达到一种境界:“不动笔墨不读书”。为此,yL23411永利集团于3月6日至3月15日举办“书香浸润心灵,阅读伴我成长”优秀读书笔记征集活动,数科学子积极参与其中,分享自己的读书体会。
获奖情况
一等奖

19级汉授二班 侯世佳
二等奖


20级汉授二班 付玉伟

21级汉授一班 李洋
三等奖

20级汉授一班 宋杨


20级汉授一班 冯明润


21级汉授二班 谢凌云
优秀奖

19级汉授一班 武瑾

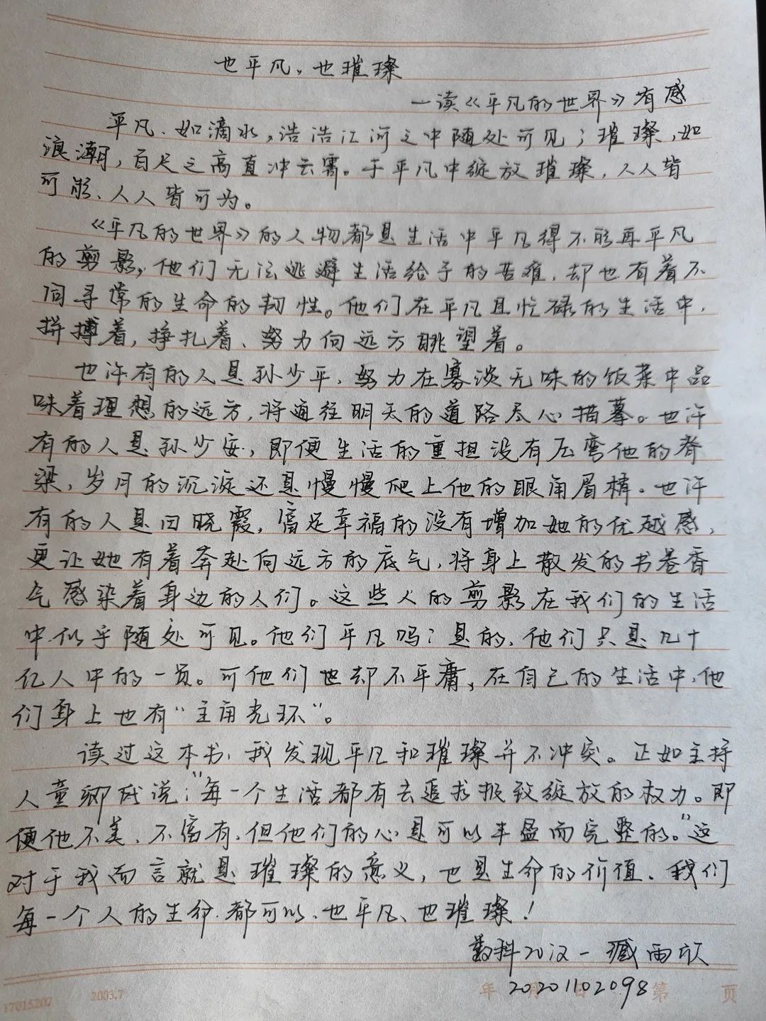
20级汉授一班 臧雨欣
“书籍是人类的朋友,是人类的进步阶梯。”读书不仅是人们掌握知识和技能的重要途径,也是传承和发扬前人智慧的重要通道,更是丰富自己、完善心智、获得平静的过程。通过此次读书笔记征集活动,鼓励数科学子培养浓厚的读书兴趣,养成良好的读书习惯,树立正确的读书观,从而拓宽眼界,滋养精神,引导同学们成为更好的自己。

